来源:北京科技大学课件
版权归原作者所有
一、概述
抗滑桩是将桩插入滑面以下的稳固地层内,利用稳定地层岩土的锚固作用以平衡滑坡推力,从而稳定滑坡的一种结构物。除边坡加固及滑坡治理工程外,抗滑桩还可用于桥台、隧道等加固工程。

抗滑桩具有以下优点:
(1) 抗滑能力强,支挡效果好;
(2) 对滑体稳定性扰动小,施工安全;
(3) 设桩位置灵活;
(4) 能及时增加滑体抗滑力,确保滑体的稳定;
(5) 预防滑坡可先做桩后开挖,防止滑坡发生;
(6) 桩坑可作为勘探井,验证滑面位置和滑动方向,以便调整设计,使其更符合工程实际。
二、抗滑桩类型
实际工程应用中,应根据滑坡类型及规模、地质条件、滑床岩土性质、施工条件和工期要求等因素具体选择适宜的桩型。


三、抗滑桩破坏形式
总体而言,抗滑桩破坏形式主要包括:
(1) 抗滑桩间距过大、滑体含水量高并呈流塑状,滑动土体从桩间挤出;
(2) 抗滑桩抗剪能力不足,桩身在滑面处被剪断;
(3) 抗滑桩抗弯能力不足,桩身在最大弯矩处被拉断;
(4) 抗滑桩锚固深度及锚固力不足,桩被推倒;
(5)抗滑桩桩前滑面以下岩土体软弱,抗力不足,产生较大塑性变形,使桩体位移过大而超过允许范围;
(6)抗滑桩超出滑面的高度不足或桩位选择不合理,桩虽有足够强度,但滑坡从桩顶以上剪出。
对于流塑性地层,滑体介质与抗滑桩的摩阻力低,土体易从桩间挤出。此时,可在桩间设置连接板或联系梁,或采用小间距、小截面的抗滑桩,因流塑体的自稳性差,当地下水丰富时,开挖截面过大的抗滑桩易造成坍塌,对处于滑移状态的边坡,还可能会加速边坡的滑移速度,甚至造成边坡失稳。
四、抗滑桩设计
01
基本要求
抗滑桩是一种被动抗滑结构,只有当边坡产生一定的变形后,才能充分发挥作用。因此,抗滑桩宜用于潜在滑面明确、对变形控制要求不高的土质边坡、土石混合边坡和碎裂状、散体结构的岩质边坡。
抗滑桩宜布置在滑体下部且滑面较平缓的地段;当滑面长、滑坡推力大时,可与其它加固措施配合使用,或可沿滑动方向布置多排抗滑桩,多排抗滑桩宜按梅花型布置。此外,抗滑桩设计还应满足以下要求:
✔通过桩的作用可将滑坡推力滑坡的剩余抗滑力传递到滑面以下稳定地层中,使滑体边坡安全系数达到规定值。保证滑体不越过桩顶,不从桩间挤出。
✔桩身有足够的稳定性。桩的截面、间距及埋深适当,锚固段的横向应力在容许值内。
✔桩身有足够的强度。钢筋配置合理,能够满足截面内力要求。
✔保证安全,施工方便,经济合理。
02
设计流程
1)研究滑坡原因、性质、范围、厚度,分析滑坡的稳定状态、发展趋势;
2)根据滑坡地质剖面及滑面处岩土体的抗剪强度指标,计算滑坡推力;
3)根据地形、地质及施工条件等确定设桩位置及范围;
4)根据滑坡推力大小、地形及地层性质,拟定桩长、锚固深度、桩截面尺寸及桩间距;
5) 确定桩的计算宽度,并根据滑体的地层性质,选定地基系数;
6)根据选定的地基系数及桩的截面形式、尺寸,计算桩的变形系数及其计算深度,据此判断是否按刚性桩或弹性桩进行设计;
7) 根据桩底的边界条件采用相应的公式计算桩身各截面的变位、内力及桩侧应力(桩周岩土抗力)等,并计算最大剪力、弯矩及其位置;
8)校核地基强度,若桩身作用于地基的弹性应力(横向压应力)超过地层容许值或小于容许值过多时,则应调整桩的埋深、截面尺寸或间距,重新计算,直至达到相关要求;
9) 根据计算结果,绘制桩身的剪力图和弯矩图;
10) 对于钢筋混凝土桩,根据上述计算结果进行配筋设计。
03
作用力系
作用于抗滑桩的外力主要包括滑坡推力、桩前滑体抗力(滑面以上桩前滑体对桩的抗力)、锚固段地层抗力(滑面以下地层对桩的抗力)、桩侧摩阻力和黏着力以及桩底反力等,其均为分布力。
04
滑坡推力
作用于抗滑桩上的滑坡推力,与滑坡性质、滑体厚度、滑面形状以及桩的位置、间距等因素相关。一般先用工程地质法的各种手段,对滑坡稳定性进行分析,然后辅以力学计算。由于桩间土拱对滑坡推力的影响机理尚不清晰,通常假定每根桩所承受的滑坡推力等于桩距(相邻两根桩中心的距离)范围之内的滑坡推力。剩余下滑力的计算有两种模式,分别通过加大下滑力、折减抗滑力进行计算。
1) 计算基本假定
①在沿滑动主轴方向的地质纵断面图上,按滑面的产状和岩土性质划分为若干铅直条块,由后向前计算各条块分界面上的剩余下滑力即是该部位的滑坡推力;
②每段滑体的下滑力方向与其所在条块的滑面平行;
③横向按单位宽度计算,不考虑两侧的摩擦阻力;
④视滑体为连续而无压缩的介质,由后向前传递下滑力并作整体滑动,不考虑滑体内部的局部应力作用。
2) 滑体上的作用力
第i 个条块滑体上的作用力可分为基本力系和特殊力系两类。
基本力系包括滑体自重Wi、上一条块传递来的剩余下滑力Ei-1、下一条块产生的支撑力Ei、滑床反力Ni、滑面的抗滑力Ti;
特殊作用力系只有在可能出现的情况下,才列入计算,其主要包括作用在条块上的外部荷载Pi、动水压力Di (滑体饱水或其下部饱水且与滑带水相连通时考虑)、滑床上产生的浮托力Si、滑头水系有压力水头时的浮托力Si’ 及地震力Esi等。

3) 各作用力的计算

4) 通过加大下滑力计算



5) 通过折减抗滑力计算(推荐)

05
滑坡推力计算
计算滑坡推力时,首先根据试验资料、经验数据等进行综合分析,拟定各条块滑面的ci、φi值,或整个滑面的平均c、φ值,令F=1,依次计算各条块的剩余下滑力,并要求滑坡前缘出口的剩余下滑力等于或趋近于零。若不为零,则需调整c、φ值,重复计算,直至等于或趋近于零为止,即反算求得c、φ值,如曲线a,进而综合确定滑面(带)的强度指标。
其次,根据工程要求,选定安全系数F,再重新计算各条块的剩余下滑力,即为设计下滑力,如曲线b。滑坡前缘出口处的最终不平衡下滑力 ,其为抗滑桩设计的主要依据之一。最后,根据选定的桩位、桩间距,计算作用在每根桩上的滑坡推力。

滑坡推力曲线
06
滑坡推力分布形式
滑坡推力分布及其作用点位置,与滑坡类型、部位、地层性质、变形状况及地基系数等因素有关。当滑体沿断面高度均匀向下变形、地基系数为常数时,推力呈矩形分布;当地基系数沿断面高度呈线性变化时,则推力呈三角形分布;当地基系数在顶部呈线性变化、底部为常数时,则推力呈梯形分布。

当滑坡为堆积层、破碎岩层时,下滑力自上而下呈三角形分布,由于滑体与滑床间存在摩擦,其下滑力有所减小,因而整个分布图形接近于抛物线形。一般而言,若滑体变形是均匀向下蠕滑,当滑体是一种黏聚力较大的地层(如黏土、土夹石等),其推力分布图形可近似按矩形考虑;若滑体是一种以内摩擦角为主要抗剪特性的堆积体,其推力分布图形可近似按三角形考虑,甚至按二次曲线考虑;介于此两者间的情况,可假定为梯形。实际工程中,一般根据具体情况采用三角形、梯形或矩形分布。
07
桩周岩土抗力
设置抗滑桩后,当抗滑桩受到滑坡推力作用产生变形时,一部分滑坡推力传递到桩前滑体(滑面以上),另一部分通过桩体传递到锚固段地层(滑面以下)。抗滑桩周围岩土体对抗滑桩的抗力作用称为桩周岩土抗力,其中滑面以上的称为桩前滑体抗力,或受荷段地层抗力;滑面以下的为锚固段地层抗力。

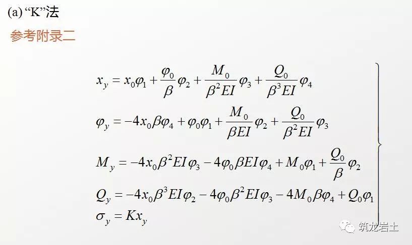
① 地基系数为常数(即“K”法)的假定,适用于较完整岩层和硬黏土;
② 地基系数与深度成正比例增加(即“m”法)的假定,适用于硬塑至半坚硬的砂黏土、碎石类土或风化破碎的岩层。

2) 弹性抗力
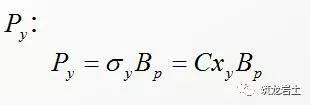
在弹性限度内,与变位成正比的桩周岩土抗力称为弹性抗力,根据弹性理论,由地基系数计算桩周岩土作用于桩身的弹性抗力值及其分布。假定地层为弹性介质,桩为弹性构件,作用于桩侧任一点y处的弹性抗力

3) 桩前滑体抗力
桩前滑体抗力与滑坡性质、桩前滑体规模等因素相关。试验表明,桩前滑体体积愈大,抗剪强度愈高,滑面愈平缓、粗糙,桩前滑体抗力愈大,反之愈小。此外,还与是否存在多层滑面有关。当抗滑桩在滑坡推力作用下产生变形,滑面以上桩前滑体抗力小于桩体所提供的极限抗力时,桩前滑体将产生隆起破坏,或沿桩前滑体中某一薄弱面产生剪切破坏。
桩前滑体抗力可由极限平衡时滑坡推力曲线、桩前被动岩土压力或桩前滑体的弹性抗力(桩前剩余抗滑力)确定,设计时选用较小值。
①根据滑坡推力曲线确定桩前滑体抗力时,假定滑坡处于极限平衡状态,滑面以上的c、φ值根据反算法确定时,抗滑桩需要承受的推力(桩上设计荷载)为T=E-P 。
②以桩前被动土压力作为桩前滑体抗力时,可按朗肯被动土压力公式计算。
③采用地基系数法时,将滑面以上桩身所受的滑坡推力作为已知设计荷载,然后根据滑面上下地层的地基系数,把整根桩视为弹性地基梁进行计算,不考虑滑面存在的影响。
应特别注意,若桩前滑体将被挖掉或可能滑动,则不存在桩前滑体抗力,此时应将滑坡推力直接作为桩上设计荷载。
桩前滑体抗力的分布图形基本呈抛物线,抗力的最大值出现在滑体中部,靠近滑面的应力较小。当滑体为黏性土时,由于黏聚力影响,顶端抗力较滑体为松散介质时大,合力重心也较高。在工程设计中,桩前滑体抗力一般采用与滑坡推力相同的应力分布形式,也可采用抛物线分布形式。当采用抛物线分布时,可将抗力图形简化为一个三角形和一个倒梯形。
4) 锚固段地层抗力
锚固段地层抗力分两种情况:①抗滑桩锚固在完整岩层中,此时把滑面以下的地层当作半无限的空间弹性体,抗滑桩处理为插入其中的一根杆件较为合适,因按空间弹性体计算较为复杂,故一般采用弹性力学中简便的链杆法计算,滑面处的抗力图形有明显的应力集中现象;②抗滑桩锚固在破碎岩层或堆积层中,此时可将地层视为弹性介质,采用地基系数法较为合适,而滑面处抗力较小。

08
抗滑桩设计要素
1) 桩的平面位置及其间距
抗滑桩的平面位置和间距,一般应根据滑坡的地层性质、推力大小、滑面坡度、滑体厚度和施工条件等因素综合考虑确定。多数滑坡体上部滑面陡,张拉裂缝多,不易设桩且在此部位设桩并不能对潜在滑体的中下部发挥作用,故效果较差;中部滑面深,下滑力大,设桩的工程量大,施工较为困难;潜在滑体的下部,滑面较缓,下滑力较小或系抗滑地段,布设桩容易,且基本上能对整个潜在滑体起到抗滑作用,在工程实践中,多将抗滑桩布设在该部位。
在平面上,桩通常为一排,布置方向应与滑体滑动方向垂直或接近垂直。对于沿滑动方向很长的多级滑体或下滑力很大的滑体,设两排或多排抗滑桩分级处治较为合理,也可采用抗滑桩和其它措施联合处理。合理的桩距应使桩间滑体具有足够的稳定性,在下滑力作用下,不致从桩间挤出。初步选定时,桩的中心距可为6~10m,且宜大于桩的横截面短边或直径的2.5倍。
2) 桩的横截面及其计算宽度
抗滑桩横截面形状对桩的抗滑作用有较大影响。当滑体滑动方向明确时,可采用矩形截面,其长边宜与滑动方向一致;当滑体滑动方向难以准确确定时,宜采用圆形截面。抗滑桩的截面尺寸应根据单桩承受的滑坡推力大小、锚固段地层横向容许承载力和桩间距等因素确定,且桩最小边宽度不宜小于1.25m。初步选定时,矩形截面的短边边长可为1.5~3m,长边边长不宜小于短边的1.5倍;圆形截面的直径可为1.5~5m。
3) 桩的锚固深度
桩的锚固深度与稳定地层的强度、滑坡推力、桩体刚度、截面和间距、是否及如何考虑桩前滑体抗力等因素有关。锚固不宜过深,通常采用缩小桩距或调整桩体截面尺寸等方法,以减小锚固深度。抗滑桩锚固段应锚固于潜在滑面以下的稳定地层内,且不应产生新的深层滑动。初步选定时,锚固深度可为桩长的1/4~1/3,最终应根据计算确定。
4) 桩底支承条件
抗滑桩的顶端一般为自由支承,而底端根据锚固程度不同,可分为自由支承、铰支承、固定支承三种,工程上通常采用前两种。
① 自由支承:在滑面以下桩的OB段,地层为土体、松软破碎岩体;
② 铰支承:当桩底岩层完整时,并较OB段地层坚硬,但桩嵌入此层不深;
③固定支承:当桩底岩层完整且极坚硬,桩嵌入该层较深。(不推荐)

5) 刚性桩与弹性桩


当βh2≤1.0或αh2≤2.5时,抗滑桩属刚性桩,否则属弹性桩。锚固段地基系数为梯形分布时,可将桩分成若干小段,每小段内采用常数分布近似计算。
09
抗滑桩结构设计
抗滑桩桩身按受弯构件设计,当无特殊要求时可不做变形、抗裂及挠度等验算。桩身混凝土的强度等级宜为C30,桩身中的主筋宜采用HRB 400钢,箍筋可采用HRB 335钢或HRB 400钢。
10
抗滑桩内力计算
国外通常采用线弹性地基系数法计算抗滑桩内力,将滑面以上按悬臂桩考虑,并采用一般静力学方法求解其内力,而滑面以下采用有限差分法求解其内力。国内大多采用悬臂桩法和地基系数法。
悬臂桩法是最早提出的一种方法,具有简单实用的优点,其将滑面以上视为悬臂梁,滑面以下视为Winkler弹性地基梁,由于其对桩的实际受力状况偏于安全的简化,因而对桩的内力计算结果是过于保守的;地基系数法把整根梁作为弹性地基梁来处理,通常认为其较接近抗滑桩的实际受力状况,根据地基系数的假定不同,上述方法又分为“K”法、“m”法等。
对于悬臂式抗滑桩、桩前滑体可能滑动的全埋式抗滑桩,通常采用悬臂桩法,对于一般的全埋式抗滑桩,上述两种方法均可采用。《铁路路基支挡结构设计规范》(TB 10025)推荐使用悬臂桩法。
11
地基强度校核
抗滑桩锚固深度的计算应根据地基的横向容许承载力确定。

五、抗滑桩内力计算
滑面以上的桩身内力,应根据滑坡推力和桩前滑体抗力计算;滑面以下的桩身变位和内力,应根据滑面处的弯矩、剪力和地基的弹性抗力(锚固段地层抗力)进行计算。计算时,通常将抗滑桩位于滑面以上的部分称为受荷段,滑面以下部分称为锚固段,两部分单独计算。
01
受荷段桩身内力
若桩前滑体自身不能保持稳定,当桩受力时,其不能提供反向支承力,此时抗滑桩称为悬臂桩,抗滑桩受荷段仅承受滑坡推力,桩身内力可根据结构力学公式直接计算。
若桩前滑体自身能保持稳定,且具有一定的稳定强度,当桩受力后,桩前滑体能提供一定的反向支承力以稳定桩后滑体,这部分力称为桩前滑体抗力,其大小、分布规律及对桩的作用很复杂,当桩前滑体抗力采用与滑坡推力相同的分布形式,桩身内力可根据结构力学公式计算。

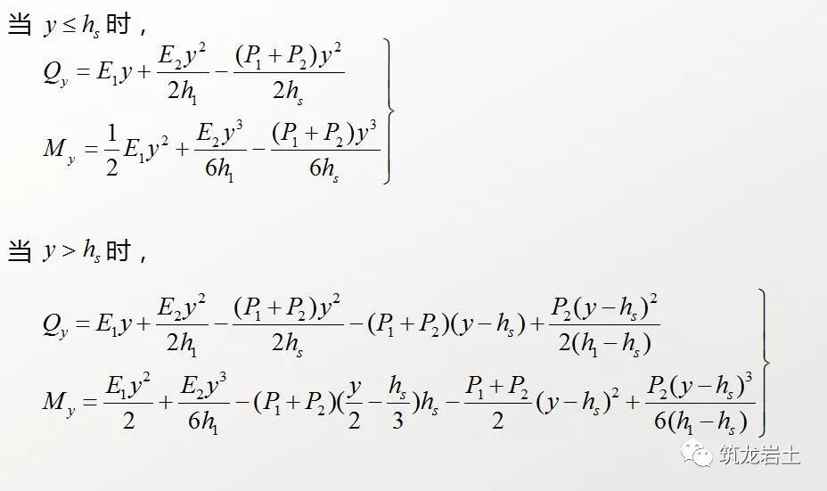
根据简化后滑面处弯矩和剪力相等的原理,


hs为桩前滑体抗力最大应力处与桩顶的距离,其值随滑体黏聚力的增大而减小。试验表明, hs一般等于受荷段桩长的1/4~1/3,该值对计算结果影响不大。


02
锚固段桩身内力
1) 按刚性桩计算
刚性桩内力计算方法较多,目前较常用的是将锚固段桩身周围的地基介质视为弹性体以计算桩侧应力(锚固段地层抗力),从而计算锚固段桩身内力。

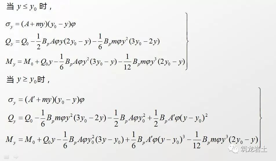
① 滑面处地基系数的确定
对于地基系数不随深度变化的弹性介质,如密实土层和岩层,由于其地基系数较滑体大得多,因此上部滑体的存在不会影响滑床的弹性性质,滑面处地基系数仍为常数。
对于地基系数 C=A+my 的地层,A 值的大小与应力释放、地层性质和附加荷载等因素有关。应力释放需视地质年代中地层的沉积、卸荷、剥蚀、夷平和各种营力作用来考虑,即考虑超压密作用;附加荷载主要包括滑体自重及其上部建(构)筑物等。一般而言,A及 A’值可用换算法求得。

② 桩身内力计算
在滑坡推力作用下,当桩埋入完整、坚硬岩石的表层时,将绕桩底转动,当桩埋入土层或软质岩层中时,将绕桩身某点转动。桩身内力的计算,根据滑面以下地层情况的不同有所区别。假设桩身埋入同一地层,滑面以下m值相同,桩底为自由端,计算分析如下:


2) 按弹性桩计算
按弹性桩计算锚固段桩身内力,本质上是利用初参数方程求解锚固段桩身变位及内力。初参数指桩起始端的位移、转角、弯矩和剪力等物理量,即y=0时的x0、φ0、M0、Q0。桩的初参数解即为用桩的四个初参数表示弹性桩桩轴微分方程的通解及其它物理量的解答,因其均为方程,故称为初参数方程。



六、锚拉桩
与普通抗滑桩相比,锚拉桩具有下列优点:①改变普通抗滑桩的受力状态,减小桩身弯矩和剪力,从而减小桩身截面面积及埋深,节省材料并降低造价;②锚索可控制桩顶位移量,由普通桩被动受力变为主动施力,使其成为主动抗滑结构,可有效减小滑体位移量,利于保证滑带(潜在滑带)的强度;③能较快控制滑坡。

01
结构形式

02
基本假定
锚拉桩设计计算基本假定如下:
1) 锚拉桩可简化为受横向变形约束的弹性地基梁,根据变形协调原理,锚拉处桩的位移应与锚索伸长量相等,然后进行桩的内力计算。
2) 假定每根锚索承受相邻两桩(中心至中心)的滑坡推力,作用于桩上的力主要有滑坡推力、桩前滑体抗力、锚索拉力及锚固段地层抗力,不计桩体自重、桩底反力及桩与岩土间的摩阻力等。

03
桩身内力计算
假定抗滑桩受荷段桩身布设n根锚索,则桩为n次超静定结构。滑面处的弯矩M0’及剪力Q0’计算公式如下:


以上内容来源于网络收集整理,如有侵权请联系客服