来源:筑龙论坛
版权归原作者所有
在道路工程的设计与施工中,常常遇到与道路横断面图相关的各种棘手问题,令人头疼。看完下面这个图文解读,一键get横断面设计方法与步骤、设计成果、绘制方法、面积计算方法、路基土石方数量计算及调配、纬地横断面设计操作等等技巧,赶紧收藏吧!
横断面概述
道路的中心线方向上所做法向剖面为道路的横断面.道路的横断面是由横断面设计线和地面线所构成的。

横断面设计(路幅设计)
公路横断面:
公路:路肩外侧边缘之间的部分。


路幅:是公路路基顶面两路肩外侧边缘之间的部分,分为单幅、双幅公路。

公路路幅典型横断面组成
双幅公路:把上下行车辆分隔开,主要方式:
用分隔带分隔上下行车辆(整体式断面)
将上下行车辆放在不同高度(或平面)上加以分隔。(分离式断面)
如高速公路、一级公路等
单幅公路:上下行车辆不分开(主要利用标线分隔)。
1、单幅双车道
二、三、四级公路,在总里程占比例最大,具有混合交通的缺点。
2、双幅多车道
高速公路、一级公路,中间设有分隔带或做分离式断面。
3、单车道
交通量小、地形复杂的山区的四级道路,宽度4.5米,路面3.5米;不大于300m距离内设置一定的错车道。
城市道路:道路红线之间的部分。

车行道、人行道、中央分隔带等构成。
道路红线:划分城市道路用地和城市建筑用地、生产用地和其它备用地的分界控制线。
划分城市道路用地和城市建筑用地、生产用地和其它备用地的分界控制线。红线之间的宽度为道路用地范围,是道路宽度或规划路幅。红线宽度的确定:根据道路性质和功能,路幅形式,机动车道、非机动车道、人行道、绿化带等各个组成部分的宽度。
城市道路路幅布置形式:
1、单幅路(一块板)
优点:占地少,投资省,车道利用率高。
缺点:车辆混行,不安全。
适用:一般道路红线较窄,机动车和非机动车 不多的次干道、支路。用地不足拆迁困难的旧城改建的城市道路。

2、双幅路(两块板)
优点:投资省,机动车分向行驶,安全程度提高。
缺点:一侧仍旧属于混行,机动车和非机动车行驶,互相影响。
适用:单向需要两条以上车道,非机动车较少的道路。有平行道路可以供非机动车行驶的快速路或郊区道路,一般红线宽度在40米以下的道路。

3、三幅路(三块板)
优点:机动灵活,机、非分开,安全性大大提高。
缺点:占地较大,投资较大
适用:机动车、非机动车较大的城市道路;一般红线宽度在40米以上。

4、四幅路(四块板)
优点:车速高、交通运行安全
缺点:用地大、投资高
适用:快速路和交通量大的主干线,一般红线宽度在40米以上。

路线设计中所讨论的横断面设计只限于公路路肩外侧边缘(城市道路红线)之间的部分,也称路幅设计。
确定各个部分的宽度、确定各个组成部分的位置和高差、确定道路路幅的布置形式。

行车道的设计
道路上供各种车辆行驶的部分称为行车道。分为机动车、非机动车道设计。车道宽度、车道数的确定、行车道的宽度。
机动车车行道设计:
城市道路的车速为30-40km/h,所需要的车道宽度为3.42-3.80米
平均为3.50米,速度大于50km/h,车道宽度应该取为3.75米;速度小于50km/h,车道宽度应该取为3.50米。
公路行车道根据《公路工程技术标准》确定,高速公路和一级公路的一条车道为3.75米(V=120、100、80km/h)、3.50(60km/h);二级公路行车道(双向混合行驶)宽度为9.0m(80km/h),7.0m(40km/h) ;三级公路行车道(双向混合行驶)宽度为7.0m(60km/h),6.0m(30km/h) ;四级公路行车道(双向混合行驶)宽度为6.0m(40km/h), (单向混合行驶) 3.5m(40km/h)。
车道数的计算方法:

行车道宽度计算:
曲线上的加宽
一、加宽设置的必要性和加宽值的计算
由于车辆在弯道上所占的空间大于直线上所占的空间,半径小于250米的路段,均需要设置加宽。

加宽值的布置:
曲线内侧 一般公路加宽设置在弯道的内侧。
曲线的内外两侧 主要考虑用地紧张状况。


加宽示意图:

加宽值的计算:


公路曲线双车道加宽值:

四级公路和山岭、重丘区的三级公路采用第一类加宽值。其余各级公路采用第三类加宽值,对不经常通行集装箱、运输半挂车的公路,采用第二类加宽。
二、加宽过渡的方法
1、加宽缓和段
加宽值从直线段为零,逐渐过渡到圆曲线起点处的全加宽值的过渡段。

设有缓和曲线:加宽缓和段采用和缓和曲线相同长度,不设缓和曲线有超高缓和段:采用与超高缓和段一样的长度,不设缓和曲线或超高缓和段:按照渐变率为1:15且长度不小于10m。
2、加宽过渡的方法
(1)按照比例加宽
在加宽缓和段内按比例加宽。

式中:Lx—加宽缓和段任意一点到缓和段起点的距离;
L— 加宽缓和段全长; E—全加宽值。

路面内侧与行车轨迹不符,起讫点出现波折,二、三、四级公路和一般城市道路。


(2)按高次抛物线加宽
高等级道路和城市快速路

(3)按回旋线加宽(路面内侧回旋线,利于行车顺适美观)

路肩、分车带、路侧带和路缘石
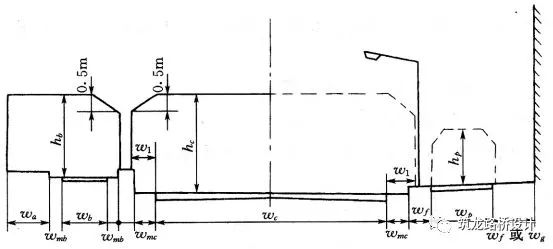
一、路肩设计(位于道路外侧,从行车道外缘到路基边缘,具有一定宽度的带状部分)

路肩的作用:临时停放车辆、横向支撑路面、堆放养护路面的材料、安装交通护栏、管线设施、诱导视线,增加公路美观,汇集路面排水。

硬路肩:进行了铺装的路肩,在高速公路、一级公路和其它等级公路交通量大的路段设置,提供车辆临时行驶、停放使用,作为路面的基层、面层的的横向支撑。
土路肩:没有进行铺装的路肩,各级公路均应该设置土路肩。

路肩的坡度:直线段的硬路肩一般应该设置向外倾斜的横坡,坡度稍大于或等于行车道横坡;曲线路段的硬路肩横坡行车道路面横坡相同;土路肩的横坡应比路面增大1~2%,因为其排水性较路面差。
二、分车带设计(分为中间带和路侧带)
(一)中间带
概念:多幅路横断面范围内,沿路纵向设计的、分隔上下行交通的设施。由中央分隔带和路缘带组成。

作用: 分隔往返车流、设置交通标志、设置公用设施和绿化带、公交停靠站、减少对向车灯产生的眩光、为公路分期修建提供用地;显示车道位置,诱导视线。
中间带的宽度:中间带的宽度是根据道路用地范围、行车带以外宽度、护栏、种植、防炫网等需要宽度规定。

中间带的宽度一般情况下应该保持等宽,若需要变宽时,在宽度变化的地点,应设置过渡段。过渡段以设置在回旋线范围内为宜,长度应与回旋线相同。宽度大于4.5m的中间带过渡段,以设置在半径较大的平曲线路段为宜。

为了便于养护作业和某些车辆在必要时驶向反向车道,中央分隔带需要按一定距离设施开口部,距离2km左右。中央分隔带的开口应设置在通视良好的路段;开口形状分为半圆形和弹头形。中央分隔带形式有凸、凹两种形式。凹形主要用于宽度大于4.5m的中间带;凸形主要用于宽度不大于4.5m的中间带;凹形一般植树绿化;凸形可铺面封闭。

两侧带:一般在城市道路中布置在横断面两侧的分车带。两侧带的作用:分隔快车与慢车道、机动车与非机动车道、车行道与人行道等。

路侧带是位于城市道路行车道两侧的人行道、种植带、公用设施带等的统称。一般高于行车道0.08~0.2m,横坡采用直线型,向内侧倾斜,坡度为1~2%。

路侧带人行道宽度:

人行道上靠行车道一侧种植行道树。设施带宽度包括设置行人护栏、照明灯柱、标志牌、信号灯的宽度。红线宽度较窄时,设施带与种植带可以合并。
路缘石是设在路面边缘与横断面其他组成部分分界处的标石。
路缘石形式:
立式:用于车行道两侧,高出地面10-20cm。
斜式或平式:使用于出入口、人行道两侧及人行横道两端。
缘石材料:用坚硬水泥混凝土或石料制作。
路拱和超高
路拱:指为了迅速排除落在地面上的雨水, 防止雨水渗入路基,路面通常做成中间高,并且向两侧倾斜的拱形,称为路拱。


抛物线形路拱:由抛物线构成。
优点:中间部分横坡小,两边横坡大,对行车和排水有利。
缺点:设计和施工较为复杂麻烦。
适用:路面度小于20m的柔性路面

直线形路拱:由两条倾斜的直线组成。
优点:设计简单,施工方便
缺点:对行车不利
适用:横坡度小的双车道水泥混凝土路面。

折线形路拱:由路中心向路边缘逐渐增大横坡的若干段折线组成。
优点:横坡变化缓,对行车和排水有利。
缺点:设计施工难度较大,转折点处有尖峰
适用:多车道的水泥混凝土路面。

曲线上的超高:
超高设置:为了抵消车辆在曲线上行驶时所产生的离心力,在该路段横断面上设置的外侧高于内侧单向横坡。半径小于不设超高的最小半径的平曲线均应该设置超高。
超高值计算:



超高过渡的方式:

1、无中间带的道路
超高横坡等于道路路拱的横坡(在超高缓和段起点之前,将路肩的横坡逐渐变为路拱横坡,外侧车道绕路中线旋转,直到超高横坡)

超高横坡大于道路路拱的横坡时:
绕路面未加宽时道路的内边缘旋转
第一步,在超高缓和段起点之前,将两侧路肩的横坡分别同时绕内外侧路面未加宽时的边缘线旋转,使路肩横坡逐渐变为路拱横坡,此过程长度为1~2m,且不计入缓和段内。

第二步,将外侧部分绕中轴(路中线)旋转,逐渐抬高外侧路面和路肩,达到单向的路拱坡度。所需要长度为x0

第三步,然后整个断面绕着未加宽前内侧行车道边缘旋转,直至超高横坡。
所需要长度为Lc-x0
适用于新建道路


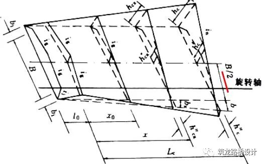
绕路面未加宽时道路中心线旋转:
第一步,在超高缓和段起点之前,将路肩的横坡逐渐变为路拱横坡。此过程长度为1~2m,且不计入缓和段内。

第二步,将外侧部分绕中轴(路中线)旋转,逐渐抬高外侧路面和路肩,达到单向的路拱坡度。所需要长度为x0

第三步,整个断面再以道路的中心线为旋转轴旋转,直至超高横坡。所需要长度为Lc-x0
一般改建道路使用


绕路面未加宽时道路的外边缘旋转:

三条基线:路面未加宽时的内侧车道边缘线、道路中心线、路面未加宽时外侧边缘线。
2、有中间带的道路
绕中间带的中心旋转:先将外侧行车道绕中间带的中线旋转,达到和内侧行车道构成单向横坡后,整个断面绕中线旋转,直至超高横坡。
适用中间带小于4.5m的公路。

绕中央分隔带边缘旋转:将两侧行车道分别绕中央分隔带边缘旋转,使之各自成为独立的单向超高断面。
适用各种中间带宽度的情况

绕各自行车道中线旋转:适用车道数大于四的情况。

分离式公路:
视为两条无中间带的公路分别处理

超高缓和段长度的计算:

超高缓和段上逐渐超高引起外侧边缘或内侧边缘的纵坡逐渐增加或减小,使边缘纵坡与原设计不同,其差值p为超高渐变率(超高附加坡度);p过大,路形不美观,乘客不舒服;过小影响排水;一般情况下,超高缓和段与缓和曲线长度相同;如果缓和曲线较长,可将超高缓和段布置在缓和曲线的某段内;考虑路面排水,超高渐变率不得小于1/330。


B—旋转轴到路面边缘的宽度;
P—超高渐变率
Δ—超高坡度与路拱坡度的代数差

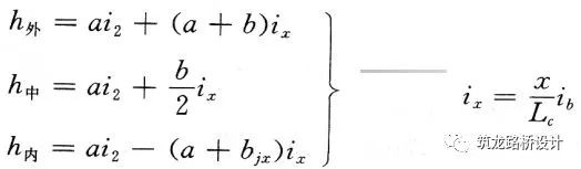
横断面上超高值的计算:
公路工程的施工中,超高横坡不便用坡度值来控制,一般采用道路中线、路基和路面边缘线相对于路基设计高程的相对高差来控制。超高值设置超高后路中线、路面边缘及路肩边缘对路基设计高程的高差。

绕路面边缘旋转的超高值计算:

超高缓和段上超高值的计算:
由于超高断面是分3个部分完成的,因此每个过程中超高都是不同的,应该分别计算。
起始断面


双坡断面:从超高缓和段起点到路面外侧变成与内侧相同坡度这一阶段内的断面。

旋转断面:单一路拱阶段到圆曲线进点内的任意断面


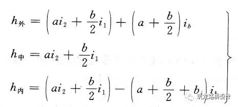
绕道路中线超高值的计算:
全超高断面超高值

超高缓和段内超高值:




四级公路和山岭、重丘区的三级公路采用第一类加宽值。其余各级公路采用第三类加宽值,对不经常通行集装箱、运输半挂车的公路,采用第二类加宽。
道路建筑限界与道路用地
道路建筑限界(净空):为保证道路上各种车辆、人群的正常通行与安全,在一定高度和宽度范围内不允许有任何障碍物侵入的空间界限,又称为净空。

道路横断面设计时应充分研究组成路幅要素的相互关系及道路各种设施的设置规划,做出合理的安排,不允许桥台、护栏、道路标志、电线杆等设施进入道路建筑限界内,道路建筑界限主要由净高和净宽两部分组成。
净空高度:载重汽车装载高度为3.5m,富余高度1m,净高为4.5m;考虑积雪和道路养护过程中铺装加厚,对公路和城市道路净空高度的规定:公路:高速、一级、二级5m,三、四级:4.5m。
城市道路:汽车4.5m;电车5~5.5m;非机动车3.5m;自行车和行人2.5m。
道路上的各种设施必须保证其伸入部分在净高以上。

道路用地:新建公路路堤两侧排水沟外边缘(无排水沟时为路堤或护坡道坡脚)以外,或路堑坡顶截水沟边缘以外不小于1m的土地为公路用地范围。在有条件路段,高速、一级公路不少于3m,二级公路不少于2m的土地为公路用地范围;城市道路的用地范围是指建筑红线以内的范围。



以上内容来源于网络收集整理,如有侵权请联系客服